In the world of math, there are some ideas that go beyond regular numbers, opening up a world of imagination and abstraction. One really interesting idea is the "Complex Plane." When you first look at it, it might seem confusing, like a puzzle for math experts. But if you dig deeper, you'll find an amazing world that connects real things with things we can only imagine.
Introduction to the Complex Plane
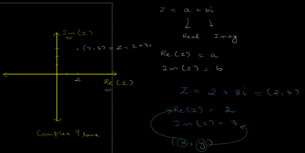
The complex plane, often referred to as the Argand plane, is a graphical representation of complex numbers. A complex number, in its simplest form, is a combination of a real part and an imaginary part, usually expressed as "a + bi," where 'a' and 'b' are real numbers, and 'i' is the imaginary unit, defined as the square root of -1.
Imagine a two-dimensional Cartesian coordinate system, just like the one we use for plotting real numbers, where the horizontal axis represents the real part of a complex number, and the vertical axis represents the imaginary part. Every point on this plane corresponds to a unique complex number.
Watch this video for a better visual understanding of the complex plane -
Visualizing Complex Numbers
Visualizing complex numbers in the complex plane adds a new layer of understanding to their properties. Real numbers, represented along the horizontal axis, are a subset of complex numbers with zero imaginary parts. Imaginary numbers, on the other hand, are plotted along the vertical axis.
Take, for example, the complex number "2 + 3i." This number would be represented by a point that is 3 units to the right along the real axis and 4 units up along the imaginary axis. In essence, the complex plane transforms complex numbers from abstract symbols to tangible points with coordinates.

In this blog, we'll uncover four cool ways in which the complex plane shapes math, revealing how its unique geometry influences different aspects of mathematical concepts.
Geometry and Operations
One of the most intriguing aspects of the complex plane is its ability to unite geometry and algebra. Adding and subtracting complex numbers becomes a geometric translation, where adding vectors in the complex plane results in moving from one point to another.
Multiplying complex numbers introduces a fascinating twist. The magnitude of the product is the product of the magnitudes of the two numbers, while the argument (angle) of the product is the sum of the arguments of the original numbers. This geometric interpretation reveals the deep connection between multiplication and rotation.
Relating De Moivre's Theorem With Complex Plane
Let's say we have a complex number z = a + bi.
Now, De Moivre's Theorem comes into play when you raise this complex number to a power, let's say 'n'. De Moivre's Theorem helps us understand what happens when we do this.
When you multiply a complex number by itself, you're not just doing regular multiplication like you do with real numbers. Instead, you're kind of "stretching" and "rotating" it on the complex plane.
De Moivre's Theorem gives us a clear way to calculate this "stretching" and "rotating" effect. It tells us that when we raise a complex number to the power of 'n', the magnitude (distance from the origin) gets raised to the power of 'n', and the angle (direction from the positive real axis) gets multiplied by 'n'.
So, let's say you have a complex number 'z' in its polar form: r(cos θ + i sin θ), where 'r' is the magnitude and 'θ' is the angle. When you raise 'z' to the power of 'n' using De Moivre's Theorem, you get:
[latex] z^n = r^n (cos(nθ) + i sin(nθ)) [/latex]
This formula tells us how the complex number's magnitude and angle change when we raise it to a power. And if you plot this new complex number on the complex plane, you'll see that it's a result of "stretching" the original point by [latex] 'r^n' [/latex] and "rotating" it by 'nθ' angles.
So, in essence, De Moivre's Theorem helps us understand how complex numbers behave when we multiply them by themselves, and this behavior is intricately connected to the geometry of the complex plane. It's like a magical bridge between algebra (raising to a power) and geometry (stretching and rotating on the complex plane), showing us how these two seemingly different aspects of math are deeply linked.
Analytic Functions and Contours
The complex plane also plays a crucial role in the study of functions. Analytic functions, also known as holomorphic functions, are functions that have a complex derivative at every point within their domain. The concept of differentiability in the complex plane leads to powerful results, such as the Cauchy-Riemann equations.
Moreover, the idea of contours, or paths, in the complex plane is fundamental in complex analysis. Integrating functions along certain paths can lead to deep insights into the behavior of functions and help solve complex integrals that might be challenging in the real domain.
Fractals and Beyond
Venturing deeper into the complex plane, we encounter captivating structures known as fractals. These infinitely complex patterns emerge from recursive mathematical functions and provide a mesmerizing visual representation of complex numbers.
Mandelbrot and Julia sets are classic examples of fractals generated using complex numbers. These intricate and self-replicating patterns exhibit astonishing detail and are a testament to the interplay between mathematics and aesthetics.
I came across this really cool video on fractals and it just blew my mind.
Final Thoughts on Complex Plane
The complex plane is a playground of mathematical beauty and depth, where the marriage of algebra and geometry creates a symphony of concepts. From its role in visualizing and manipulating complex numbers to its applications in calculus, analysis, and even art, the complex plane enriches our understanding of the mathematical universe.
As we journey through this two-dimensional realm, we uncover connections that challenge our perceptions, spark creativity, and remind us that the boundaries of mathematics extend far beyond the realm of real numbers. The complex plane beckons us to explore, discover, and unlock the secrets hidden within its coordinates, inspiring mathematicians and enthusiasts alike to embrace the elegance and complexity of Mathematics.





