Complex numbers, despite their name, need not be overly complicated. Just like real numbers have an absolute value, complex numbers do too. The concept of absolute value, which provides the 'magnitude' or 'size' of a number irrespective of its sign, is extended in complex numbers to provide a measure of their 'distance' from the origin.
But first, let’s recall the basics.
1. What is a Complex Number?
A complex number is a number of the form a + bi, where a and b are real numbers, and i is the imaginary unit (defined by the property [latex] i^2 = -1 [/latex]). The number a is called the real part, and b is called the imaginary part.
For example, 3 + 4i is a complex number where 3 is the real part, and 4 is the imaginary part.
Read this blog to understand the basics of complex numbers in detail.
2. Absolute Value (or Modulus) of a Complex Number
The absolute value (often termed as the modulus) of a complex number z = a + bi is represented by |z| and is given by:
[latex] |z| = \sqrt{a^2 + b^2} [/latex]
This formula is strikingly similar to the Pythagorean theorem, and there's a reason for that. When you plot a complex number on the complex plane (with real numbers on the x-axis and imaginary numbers on the y-axis), the absolute value is the distance from the origin (0, 0) to the point representing the complex number.
3. How to Calculate the Absolute Value of a Complex Number
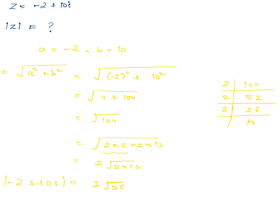
Let’s find the absolute value of z = -2 + 10i
Using the formula: [latex] |z| = \sqrt{a^2 + b^2} [/latex]
[latex] |z| = \sqrt{(-2)^2 + (10)^2} \\ |z| = \sqrt{4 + 100} \\ |z| = \sqrt{104} \\ |z| = 2 \sqrt{26} [/latex]
So, the absolute value of -2 + 10i is [latex]2\sqrt{26} [/latex].

4. Geometrical Interpretation of Absolute Value
The absolute value (or modulus) of a complex number, given by ∣z∣, provides the distance of this point from the origin. Geometrically, this distance is the length of the vector representing the complex number. Thus, the absolute value serves as a bridge, linking the algebraic properties of the complex number with its geometric representation on the plane. This geometrical insight allows us to see that the absolute value essentially captures the magnitude of the complex number, irrespective of its direction or argument.

5. Why is the Absolute Value Important?
The modulus of a complex number provides essential information about its magnitude. It’s a fundamental concept in various areas of mathematics, including calculus, differential equations, and more. In real-world applications, the modulus of a complex number can represent things like the magnitude of a vector in physics or the amplitude of a signal in engineering.
Conclusion
Understanding the absolute value of a complex number is fundamental in both pure and applied mathematics. Once you get the hang of it, you'll find that it's not so 'complex' after all. Remember, every concept in mathematics, no matter how challenging it might seem at first, can be broken down and understood with a bit of patience and practice. So, keep practicing, and soon, navigating through the world of complex numbers will become second nature to you!
Watch this video for a visual understanding -




